试题详情
- 简答题如何鉴别

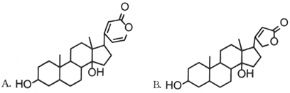
- 采用Kedde反应,其中A阴性,B阳性。
关注下方微信公众号,在线模考后查看

热门试题
- 试阐述薄层色谱法检查杂质限量的几种方法及
- 关于药物的溶出对吸收的影响的阐述错误的为
- 下列属于控制溶出行为为原理的缓控释制剂的
- 为迅速达到血浆峰值,可采取下列哪一个措施
- 地奥心血康制剂中的薯蓣皂苷和原薯蓣皂苷的
- 滴丸剂的水溶性基质不包括( )
- 《中国药典》在其性状下收载有比旋度测定的
- 东莨菪碱解除内脏平滑肌痉挛及血管痉挛作用
- 溶剂提取法中,哪些方法可以始终保持细胞内
- 膜剂制备中理想的成膜材料的条件错误的为
- 国家基本药物的遴选原则是( )
- 下列阐述制剂中属于速释制剂的有( )
- 药学专业技术人员发现处方或医嘱所列药品违
- 强心苷中糖和苷元连接的方式有3种类型:Ⅰ
- 药事管理的目标是通过检验来实现保证药品质
- 单凝聚法制备微囊必须要用带相反电荷的两种
- 一步制粒机可完成的工序是
- 以下注射给药没有吸收过程的是
- 简述研究药物配伍变化的目的。
- 差示紫外分光光度法测定复方苯巴比妥散中苯