试题详情
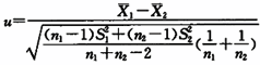
- 单项选择题例数均大于100的两样本均数比较的计算公式为
A、

B、

C、

D、

E、

关注下方微信公众号,搜题查看答案

热门试题
- 初级卫生保健的内容应除外A、促进健康B、
- 自病原体侵入机体到临床症状最早出现的一段
- 以下不属于社区卫生服务工作内容的是A、血
- 关于维生素对生长发育的影响,以下说法不正
- 某高校自去年开始对学生进行健康教育,以下
- 学校健康教育的根本目标是A、增长学生的卫
- 抽样调查适用于以下哪种情况A、欲了解某地
- 关于社区卫生服务和区域卫生规划的关系,以
- 下列哪项不是现况调查样本量的决定因素A、
- 王某的日常行为中何项不是日常促进健康的行
- 村医指导家庭主妇使用 《小儿腹泻防治》小
- 相比较而言,二次污染物对健康的危害一般比
- 影响戒烟行为的强制策略为A、立法B、吸烟
- 临床试验的程序是A、临床前试验–导入试验
- 下列哪些属于健康传播中受者的心理特点A、
- 在同一试验中,其他条件不变的情况下, 关
- 绝大多数生长发育指标个体差异的原因为A、
- 某地区居民队列研究发现,BMI(体重指数
- 环境污染的特征应为A、影响人群面广B、多
- 很多吸烟者面对患脑卒中的风险无动于衷是因